Area

  • Square:
            Area = s2
  • Circle:
            Area = pi กม r2
  • Rectangle:
            Area = a กม b
  • Ellipse:

            Area = pi กม r1 กม r2
  • Parallelogram:
            Area = b กม h
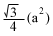
  • Equilateral Triangle:
            Area =
  • Triangle:
               Area = 1/2(b กม h)
  • Triangle given SAS (two sides and the opposite angle):
            Area = 1/2 กม a กม b กม sin C
  • Trapezoid:
            Area = 1/2h(b1 + b2)
  • Rhombus:

            Area = 1/2 กม d1 กม d2
  • Regular Polygon:

            

  • Back to Formula