Trigonometric Properties (III)

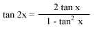
  • Double-Argument Properties:
    sin 2x = 2 sinx cosx
    cos 2x = cos2x - sin2x = 1 - 2 sin2x = 2 cos2x - 1




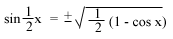
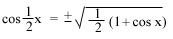
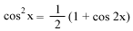
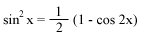
  • Half-Argument Properties:



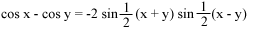
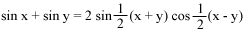
  • Sum and Product Properties:
    2 cos A cos B = cos(A + B) + cos(A - B)
    2 sin A sin B = -cos(A + B) + cos(A -B)
    2 sin A cos B = sin(A + B) + sin(A -B)
    2 cos A sin B = sin(A + B) - sin (A -B)






  • Back to Formula